武汉首例新冠肺炎患者及确诊时间揭秘

版纳植物园基于全基因组数据解析新型冠状病毒的演化和传播 中国科学院西双版纳热带植物园   2019年12月在湖北武汉爆发了一种新型冠状病毒(SARS-CoV-2)...

版纳植物园基于全基因组数据解析新型冠状病毒的演化和传播

中国科学院西双版纳热带植物园

  2019年12月在湖北武汉爆发了一种新型冠状病毒(SARS-CoV-2)所致的肺炎(现称COVID-19),新型冠状病毒爆发已两个多月 ,确定华南海鲜市场是不是唯一的发源地,对于寻找病毒的来源,以及确定中间宿主 ,对疫情的控制和避免再次爆发具有至关重要的意义 。中国科学院西双版纳热带植物园联合华南农业大学和北京脑科中心的科研人员一起收集了全世界各领域共享到GISAID EpiFluTM数据库中覆盖了四大洲12个国家的93个新型冠状病毒样本的基因组数据(截止2月12日),通过全基因组数据解析,追溯传染源及扩散路径。研究发现 ,收到的93个样本包含58种单倍型 ,可以归纳为五组(图1),包括3个古老超级传播者单倍型(H1,H3和H13)和2个新的超级传播者单倍型(H56和mv2);华南海鲜市场的新型冠状病毒是从其他地方传入进来,在市场中发生快速传播蔓延到市场之外;同时 ,现扩散的病例至少来自于3个途经。新型冠状病毒在2月12日之前发生过2次明显的种群扩张(分别是12月8日和1月6日) 。

华南海鲜市场的新型冠状病毒是从其他地方传入的

  基于120个变异位点得到58种单倍型(基因类型),单倍型演化关系显示,单倍型H13和H38是比较“古老的”单倍型 ,通过一个中间载体(mv1,可能是一个祖先单倍型,可能是来自中间宿主或者“零号病人”)与蝙蝠冠状病毒RaTG13关联 ,并通过单倍型H3衍生出了单倍型H1。与华南海鲜市场有关联的患者样品单倍型都是H1及其衍生的单倍型H2,H8-H12(图1,A),而一份武汉样品单倍型H3与华南海鲜市场无关。可见 ,华南海鲜市场的新型冠状病毒是从其他地方传入进来,在市场中发生快速传播蔓延到市场之外 。另外,根据病患发病时间记录和种群扩张时间推断 ,也印证了华南海鲜市场不是病毒发源地的推论 。

  对“古老的”单倍型H13和H38的病毒样品溯源发现分别是来自深圳的病患(广东首例)和美国华盛顿州的病患(美国首例)。他们的旅行记录表明应该都是2019年12月底至2020年1月初在武汉探亲期间被感染的。现有武汉样本中没有检测到H13和H38单倍型 ,可能是因为现有样品主要采自几家定点医院,而且样品采集时间局限于2019年12月24日和2020年1月5日 。如果能在武汉其他医院早期的病患检测到这两种单倍型,将对于寻找病毒来源非常有帮助。

新型冠状病毒在2月12日之前发生过2次明显的种群扩张

  根据新型冠状病毒基因组数据推算1月之前的种群扩张发生时间是12月8日 ,该结果暗示病毒可能在12月初,甚至11月下旬即已经开始有人际传播,随后在华南海鲜市场加快了人际传播(图2)。研究推算2月份之前的种群扩张时间在1月6日 ,这个可能与元旦假期有关联 。需要指出,这一天国家疾控中心发布了2级应急响应。当时的预警起到了一些警示作用,公众活动和出行都有所减少。如果当时的警示能引起大众更广泛的重视 ,那么1月份中下旬向全国和全球蔓延的病例会有所降低 。研究人员进一步确认我国其他9个省区和其他11个国家的感染病例基本都是从武汉直接或者间接输入而来。

现扩散的病例至少来自于3个途径

  为了能够细分来源,研究人员将58种单倍型分成了五组(图1),采用标准是3个中心(古老超级传播者)单倍型(H1,H3和H13)和2个新的超级传播者单倍型(H56和mv2)。以此鉴别出广东的病毒可能有三个来源 ,重庆和台湾的病毒有两个来源 。其中,广东深圳一家人在早期就通过人传人进行了传播。有较多样本的澳大利亚 、法国、日本和美国,他们的患者感染源至少有两个 ,尤其是美国包括了五个来源。非常值得关注的是H56这个超级传播者单倍型 ,它同时是澳大利亚、法国和美国,以及我国台湾患者的传染源 。其他国家患者因为样品比较少,大多数的来源比较单一 ,他们除了是武汉旅游输入或在武汉感染外,有一些人可能是在广东 、新加坡等地被感染 。

新型冠状病毒基因组尚未发生重组事件

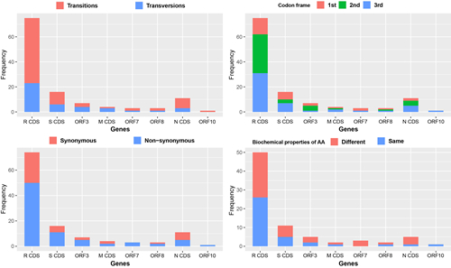
  研究人员发现新型冠状病毒基因组没有发生重组事件,93个基因组之间有120核苷酸发生了突变(0.41%序列长度) ,并均匀分散在10个编码区(χ2=1.958, df=9, P=0.99)。120个突变的核苷酸关联了119个氨基酸密码子,其中79个密码子(65.83%)改变了氨基酸类型,并有42个(53.17%)氨基酸理化性质都被改变(图3)。这些氨基酸类型以及理化性质改变是否会影响新型冠状病毒的活性暂不清楚 ,需要其他蛋白组学和结构生物学方面的专业人士进行验证 。本研究是版纳植物园综合保护中心生物多样性研究组的科研人员利用其在系统与演化领域的专长开展的,本研究提到单倍型演化关系分析方法可以结合到传染病学研究中,对于寻找传染源 ,以及精确的传播和扩散方向能提供非常重要的信息。

  相关研究结果已提交到中国科学院科技论文预发布平台http://www.chinaxiv.org/abs/202002.00033,可供疾控防疫相关部门参考,并接受专家学者的交流和讨论。

 图2. 新型冠状病毒单倍型的样品采集时间情况	。红色圈的样品是确认与华南海鲜市场有关;蓝色圈的样本确认与海鲜市场无关。

 图2. 新型冠状病毒单倍型的样品采集时间情况。红色圈的样品是确认与华南海鲜市场有关;蓝色圈的样本确认与海鲜市场无关 。

图1. 新型冠状病毒58种单倍型的演化关系和地理分布格局(A	,B),单倍型之间的可能演化关系(C),以及新型冠状病毒的可能传播和扩散路线(D)。A和B圆圈中的数据是样本数量。

图1. 新型冠状病毒58种单倍型的演化关系和地理分布格局(A,B) ,单倍型之间的可能演化关系(C),以及新型冠状病毒的可能传播和扩散路线(D) 。A和B圆圈中的数据是样本数量。

 图3. 120个变异位点在8个编码区的分布情况。统计类型包括替换或替代(左上角),密码子位置1-3(右上角)	,同义突变或非同义突变(左下角),和氨基酸性质(右下角)	。

 图3. 120个变异位点在8个编码区的分布情况 。统计类型包括替换或替代(左上角),密码子位置1-3(右上角) ,同义突变或非同义突变(左下角),和氨基酸性质(右下角)。

本文来自作者[新闻资讯]投稿,不代表深度思考立场,如若转载,请注明出处:https://m.chatgptbotai.cn/zlan/202509-2781.html

(5)

文章推荐

  • 11月12日武汉硚口区疫情最新动态及活动轨迹详解

    11月12日武汉硚口区疫情最新情况(附活动轨迹)11月12日0—24时,武汉市新增29例本土无症状感染者和7例输入性无症状感染者。其中1例涉及到硚口区:无症状感染者28:居住于硚口区天顺园432栋,在已隔离管控人员例行核酸检测中检出核酸阳性,遂即转运至市金银潭医院,结合临床表现判断为无症状感染者

    2025年09月03日
    1
  • 威县红十字会公布新冠疫情捐赠物资接收情况

    威县红十字会关于新型冠状病毒感染的肺炎疫情接收捐赠物资情况公示(截至2月23日)1月29日,常庄商会为我县应对新型冠状病毒感染的肺炎疫情,通过县红十字会捐赠电暖扇1044台、电褥子1011件、84消毒泡腾片480桶、桶装方便面1044箱、火腿肠522箱、电水壶522个,按照捐赠人意愿,以上捐赠物资全

    2025年09月07日
    0
  • 盘锦京环公司勇担责任,筑牢疫情医废处置防线

        2019年以来,盘锦京环环保科技有限公司(以下简称盘锦京环公司)始终坚决贯彻市委市政府决策部署,彰显国企担当,积极参与创建盘锦市“无废城市”试点市建设,打造盘锦市固废综合处理园区,面对当前疫情防控期间医疗废物处置严峻形势,盘锦京环公司敢于担当、勇挑重

    2025年09月10日
    1
  • 【冕宁县疫情确诊轨迹,冕宁县疫情指挥部公告】

    凉山哪些县有疫情年11月13日0-24时,凉山州甘洛县新增省内感染者9例,其中确诊病例1例,无症状感染者8例,均已转运至定点医疗机构隔离治疗。病例1:居住于甘洛县新市坝镇城北社区,系隔离管控中发现。11月13日核酸检测结果阳性,经专家组会诊,确诊为轻型病例。

    2025年09月25日
    3
  • 慈溪有病例了吗今天疫情 慈溪有没有确诊病例

    已有多人被拘留!警方提醒:对新冠肺炎疫情不造谣、不信谣、不传谣_百度...温州瑞安一网民因虚构自己从武汉回来并出现症状的信息,被公安机关处以行政拘留处罚;宁波慈溪一网民因散布关于武汉携带病毒回慈溪的谣言,同样被警方行政拘留。这些案例表明,警方对于编造、传播谣

    2025年09月27日
    1
  • 朗逸2023款报价及图片价格,大众朗逸202款多少钱

    朗逸启航还有现车卖吗该款车型还有现车卖。2023款朗逸启航版车型还有现车卖。2023款朗逸启航版车型在2023年7月正式停产,官方指导价为169万,经销商报价为89万,终端优惠在8万左右,部分地区现车充足,但部分地区可能已经停售。没有停产,依然是最新款车型,

    2025年09月28日
    2
  • 【奔驰glc43是进口的吗,glc43amg是进口,还是国产的】

    奔驰glc使用的是哪个发动机?是进口的吗?奔驰GLC的发动机来源取决于具体车型和生产批次。目前国内销售的奔驰GLC部分车型搭载的发动机为进口,尤其是高功率版本的0T发动机(如GLC300使用的M264系列)多采用德国进口。奔驰GLC搭载的发动机主要有两种:

    2025年09月28日
    1
  • 传祺新能源电动汽车 传祺新能源电动汽车10万内

    ga5电动汽车详解:它是什么类型的电动车?1、广汽传祺GA5是一款混合动力电动车。以下是关于广汽传祺GA5电动车的详细解释:车型类型混合动力车型:广汽传祺GA5采用了混合动力系统,结合了传统的燃油发动机和电动机,以实现更高效、环保的驾驶体验。2、ga5是广

    2025年09月28日
    3
  • 实测推荐“逍遥麻将有没有挂”真实开挂技巧分享

    您好:逍遥麻将有没有挂确实是有挂的,很多玩家在手机麻将中打牌都会发现很多用户的牌特别好,总是好牌,而且好像能看到其他人的牌一样。所以很多小伙伴就怀疑手机麻将是不是有挂,实际上手机麻将确实是有挂的,添加客服加QQ群安装软件.支持测试1、起手看牌2、随意选牌3、控

    2025年10月23日
    3
  • 传递经验“胡乐麻将规律”真的有挂

    胡乐麻将规律是一款可以让一直输的玩家,快速成为一个“必胜”的ai辅助神器,有需要的用户可以加我微下载使用。可以一键让你轻松成为“必赢”。其操作方式十分简单,打开这个应用便可以自定义手机麻将,只需要输入自己想要的开挂功能,一键便可以生成出手机麻将专用辅助器,不管

    2025年10月24日
    3

发表回复

本站作者后才能评论

评论列表(4条)

  • 新闻资讯
    新闻资讯 2025年09月10日

    我是深度思考的签约作者“新闻资讯”!

  • 新闻资讯
    新闻资讯 2025年09月10日

    希望本篇文章《武汉首例新冠肺炎患者及确诊时间揭秘》能对你有所帮助!

  • 新闻资讯
    新闻资讯 2025年09月10日

    本站[深度思考]内容主要涵盖:国足,欧洲杯,世界杯,篮球,欧冠,亚冠,英超,足球,综合体育

  • 新闻资讯
    新闻资讯 2025年09月10日

    本文概览:版纳植物园基于全基因组数据解析新型冠状病毒的演化和传播 中国科学院西双版纳热带植物园   2019年12月在湖北武汉爆发了一种新型冠状病毒(SARS-CoV-2)...